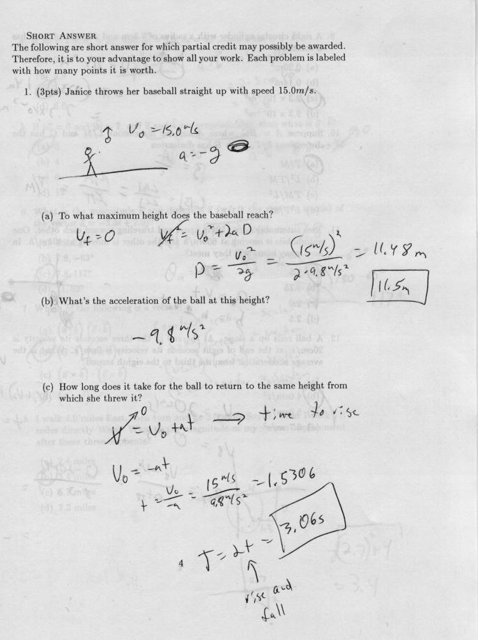
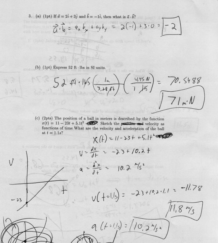
Physics 201: Test 1 Solutions
Last updated February 22, 2001.
Steve Liebling (
home
)
steve@mozart.liu.edu