Physics 201: Homework 11 Solutions

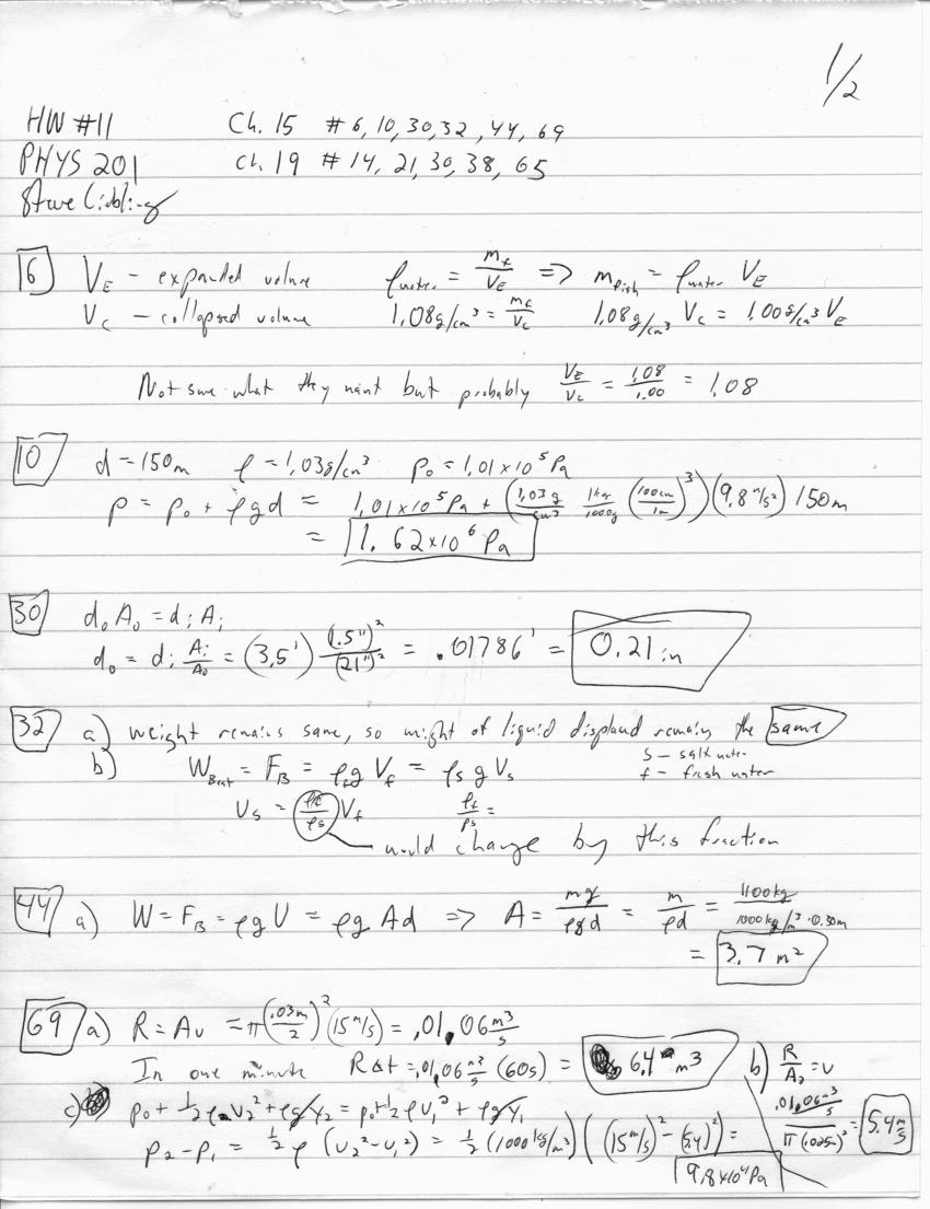
Mistake: Problem 44 (Ch. 15) is wrong as shown below. Instead the answer should read A = m_car / (rho_water - rho_ice) / d (I forget to take into account that the slab itself has weight. So that answer is finally 45 m^2.
Last updated May 16, 2000.
Steve Liebling (home)