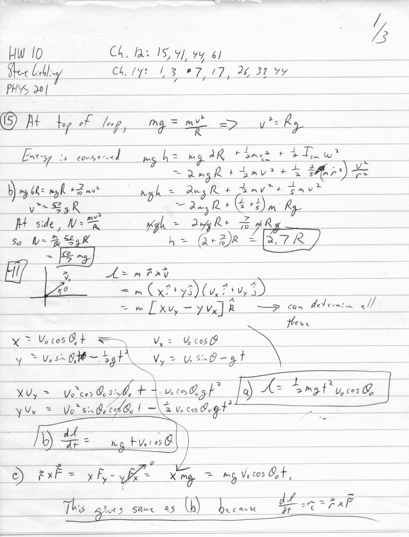
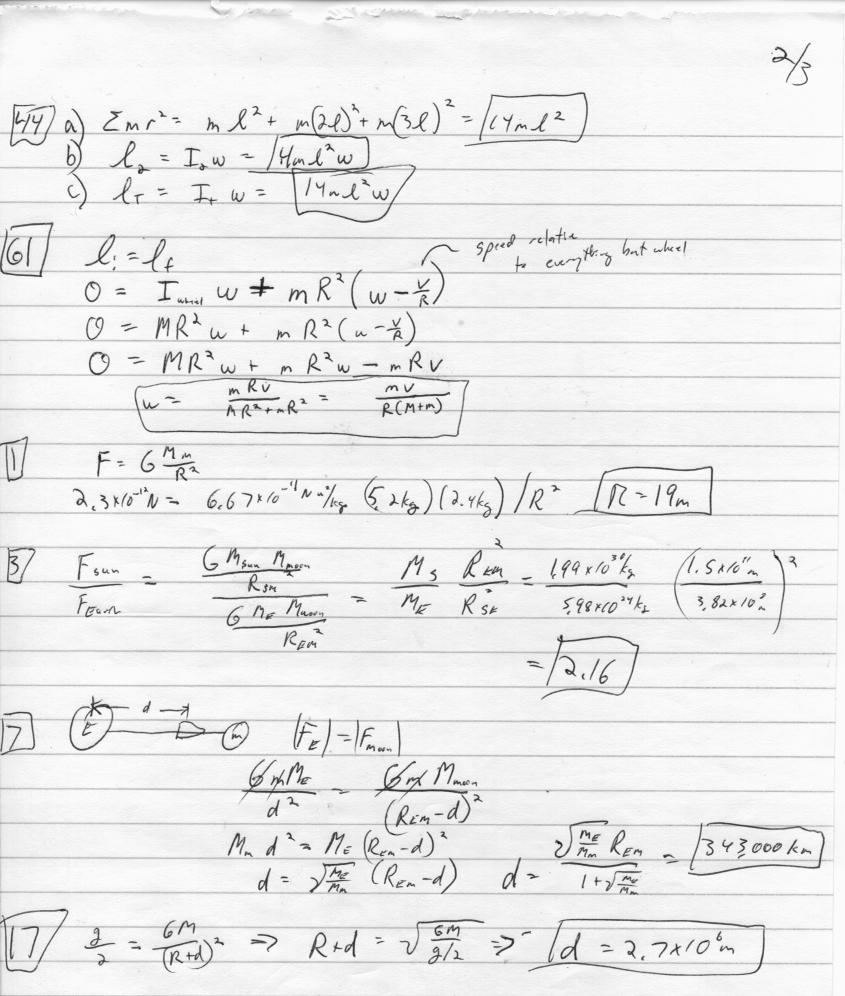
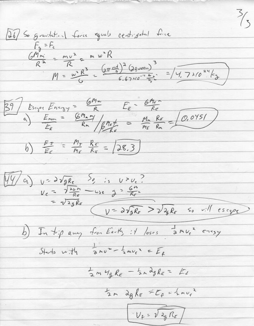
Physics 201: Homework 10 Solutions
Last updated May 9, 2000.
Steve Liebling (
home
)