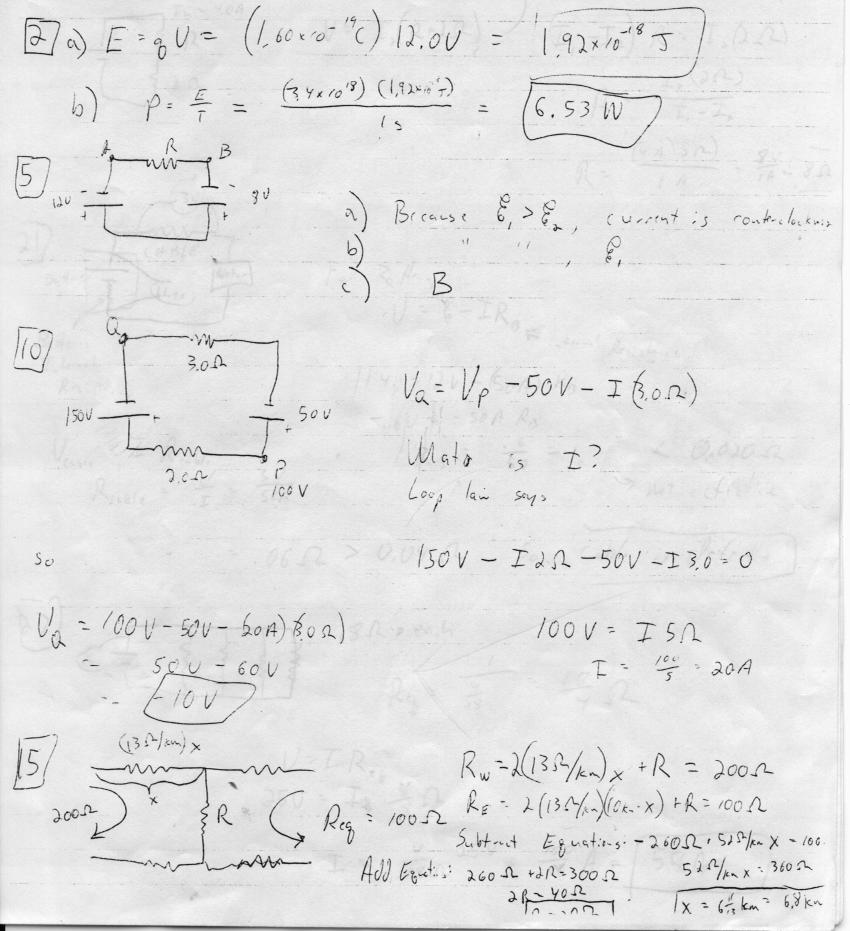
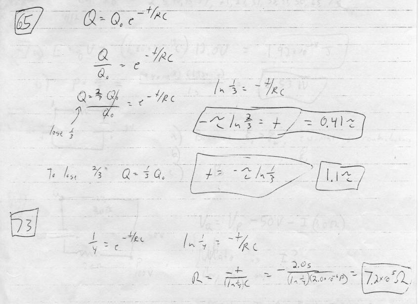
Physics 202: Homework 6 Solutions
Last updated November 14, 2000.
Steve Liebling (
home
)