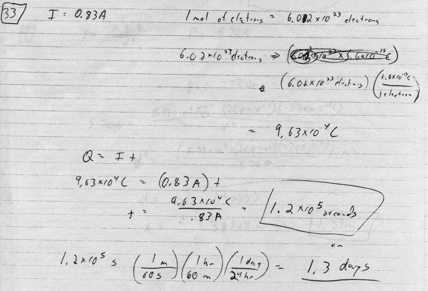
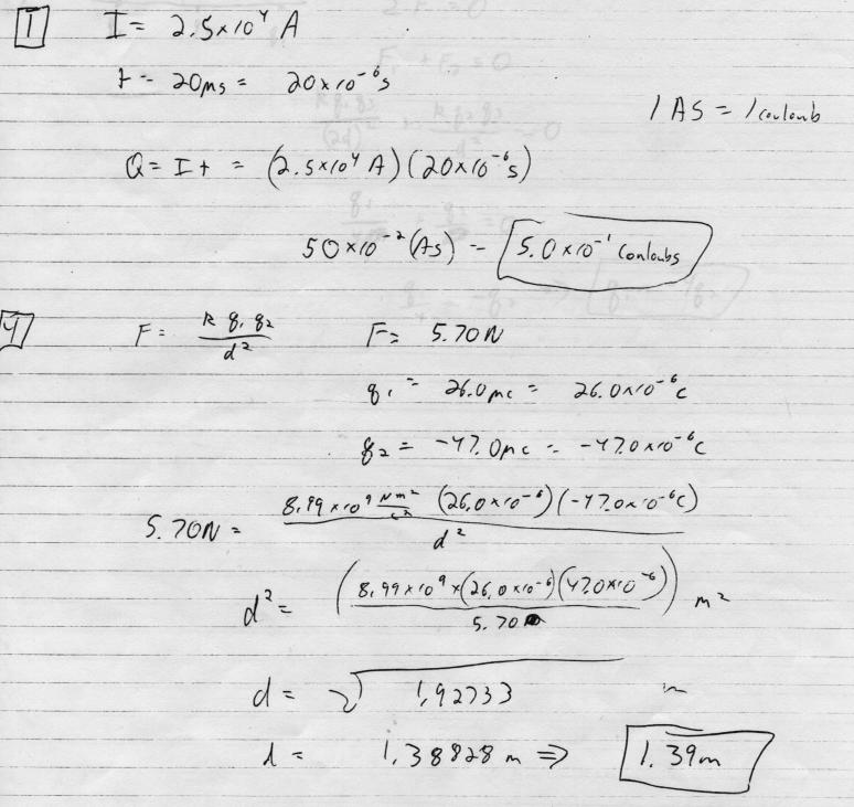
Physics 202: Homework 1 Solutions
Last updated September 18, 2000.
Steve Liebling (
home
)